Krebs' Free form/Chaos Thread

Page 812 - Get up to date with the latest news, scores & standings from the Cycling News Community.
Mar 16, 2009
19,482
2
0
silly-pun-bee.jpg
 
Mar 16, 2009
19,482
2
0
Re: Free form/Chaos Thread

left_sooch.jpg



Soochow was a Chinese mongrel adopted by the US 4th Marine Regiment in Shanghai as their mascot in 1937.

This book (written by a former US Army officer – who has written about his experiences in another book) records Soochow’s experiences with the marine regiment – in Shanghai; transfer to Subic Bay just before the war; beach defense on Corregidor and prisoner of war from May 1942 to February 1945. Soochow was at Camp O’Donnell, Cabanatuan and Bilibid, and managed to survive the war when many of his buddies did not.

Evans tells the history of the 4th Marines in parallel with Soochow, and narrates the fates of the marines who died in camps (Puerto Princesa and others) and hell ships. Soochow was brought to the US with the surviving marines, and served as the pampered mascot in the US Marine Corps base in San Diego. He died in 1948.
book_sooch.jpg
 
Mar 16, 2009
19,482
2
0
Re: Free form/Chaos Thread

"Every impossible rule has its loopholes, every general prohibition creates its own bootleggers."
--Lazurus Long
 
Mar 16, 2009
19,482
2
0
Re: Free form/Chaos Thread

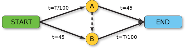
Braess’ Paradox

2016-03-08-braess-paradox.png


The diagram above represents a road network where T is the number of travelers. The leg from START to A takes T/100 = t minutes to traverse, as does the leg from B to END. The legs from START to B and from A to END each take a constant 45 minutes.

Now suppose that 4000 drivers want to travel from START to END. The northern and the southern routes are equally efficient, so the drivers will split into two groups, and each will arrive at END in 2000/100 + 45 = 65 minutes.

But now suppose that planners, hoping to improve matters, add a shortcut between A and B with a travel time of 0 minutes. Now all the drivers will take the route from START to A, since in the worst case it will take 4000/100 = 40 minutes, rather than the guaranteed 45 minutes taken by the leg from START to B. From A every driver will take the shortcut to B, for the same reason: Even in the worst case, the trip from B to END is 5 minutes faster than the trip from A to END.

As a result, every driver’s trip now takes 4000/100 + 4000/100 = 80 minutes, which is 15 minutes longer than in the original state of affairs. No individual driver has an incentive to change his behavior, since now the two original routes (northern and southern) each take 4000/100 + 45 = 85 minutes. If the 4000 drivers as a body could agree never to use the shortcut, they’d all be better off. But without a way to enforce this, all are stuck with longer commutes.

The principle was discovered by German mathematician Dietrich Braess in 1968. It’s known as Braess’ paradox.

http://www.futilitycloset.com/2016/03/08/braess-paradox/
 
Mar 16, 2009
19,482
2
0
Re: Free form/Chaos Thread

If you add your username to your ignore list, would you not be able to read your own posts?